近日,beat365机电工程学院姚大杰副教授在多智能体系统实际固定时间控制领域研究取得最新进展,相关研究成果“Prescribed Performance Practical Fixed-time Consensus Control for Multi-agent Systems with Input Saturation”以第一作者发表于国际知名学术期刊《IEEE Transactions on Systems, Man, and Cybernetics: Systems》(中科院SCI一区Top期刊,影响因子:8.6),其中beat365在线唯一官网登录为第一单位。
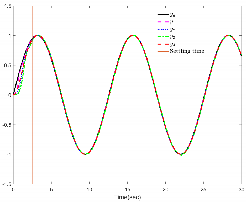
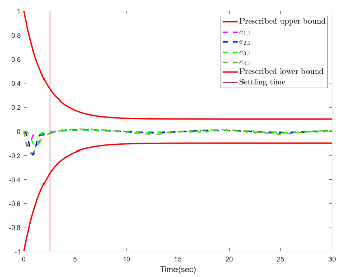
在多智能体系统一致性控制研究的众多领域中,固定时间控制因其保证系统在固定时间内的一致性而受到广泛关注。传统的固定时间控制具有一定的局限性,如不能引入事件触发机制降低控制器的更新频次,从而减少控制成本。针对这一问题,beat365姚大杰老师提出了基于事件触发的多智能体系统在规定性能下实际固定时间一致性问题。为了模拟实际系统的复杂性,还同时考虑了输入饱和和外部干扰的影响,这不仅增强了研究的实际意义,也增加了研究的难度。最终,利用钟摆系统验证了研究方法的正确性。


(图1、2为部分仿真结果图)
(供稿、图片:机电工程学院 姚大杰/编辑:袁梦成、周庆庆/审核:孙佐、刘胜)